Astro on Vercel: Time To First Byte (TTFB)
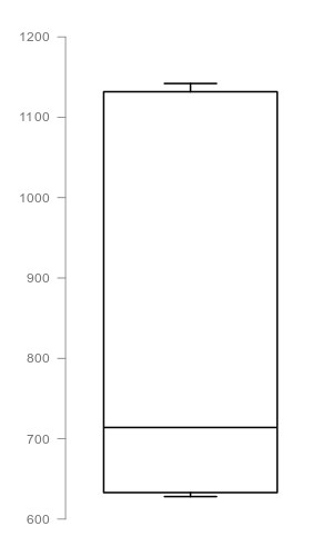
Time To First Byte (TTFB) ist auf Vercel um ca. 300 ms langsamer als lokal. Liegt das an Outliern im der Datenerfassung, beispielsweise 10 von 20 extrem schlechten Ergebnissen, oder ist das Ergebnisse repräsentativ für echte Ergebnisse?
Verteilung der Messergebnisse auf Vercel:

Rohdaten:
{
"ttfb-astro-vercel-entries": [
628,
630,
630,
630
635,
633,
633,
642,
645,
653,
775,
1025,
1087,
1130,
1131,
1132,
1132,
1132,
1137,
1142,
]
}
First Contentful Paint (FCP): Lokal vs. Vercel
Testergebnisse zeigen, dass FCP lokal deutlich langsamer als auf Vercel ist. Warum?
Load times of index page on Vercel vs. Lokal

- TCP Connection braucht lokal sehr lange
- HTTP Request braucht auf Vercel relativ lange